Como calcular a margem de inadimplência no condomínio
Como calcular a margem de inadimplência no condomínio
Dicas para Síndicos e PMES
No atual cenário econômico brasileiro, um dos maiores desafios enfrentados por gestores é a inadimplência, que impacta diretamente o fluxo de caixa e a capacidade de investimento do empreendimento. Compreender como calcular a margem de inadimplência não é apenas um exercício matemático; é uma medida de governança fundamental para garantir que as contas ordinárias sejam pagas sem a necessidade de recorrer a empréstimos bancários ou rateios extras emergenciais, que costumam gerar atritos significativos entre os moradores.
O monitoramento rigoroso desse indicador permite que o síndico antecipe crises e proteja os condôminos adimplentes, que, na ausência de uma margem de segurança bem planejada, acabam arcando com o déficit deixado pelos devedores. Este relatório detalha os fundamentos da inadimplência no setor condominial, os métodos precisos para o cálculo da margem de segurança, os itens que compõem o planejamento orçamentário e as estratégias para apresentar esses números em assembleia de forma transparente e profissional.
A realidade da inadimplência no cenário econômico atual
Para o síndico, é essencial contextualizar os números do condomínio com o panorama macroeconômico. Em 2025, a inadimplência condominial no Brasil apresentou variações alarmantes, atingindo picos de 11,95% no primeiro semestre, o maior patamar desde 2022. Esse aumento está intrinsecamente ligado à elevação das taxas de juros e da inflação, fatores que reduzem o poder de compra das famílias e forçam os moradores a priorizarem dívidas com encargos mais pesados, como cartões de crédito e cheque especial, em detrimento da cota condominial.
A disparidade regional também é um fator que o gestor deve observar ao comparar seu condomínio com as médias de mercado. Enquanto a região Norte registrou índices de inadimplência superiores a 18% em certos levantamentos, o Sul manteve-se em patamares mais baixos, próximos a 9,45%. Essas variações demonstram que fatores externos, como o desemprego local e a dinâmica econômica regional, influenciam diretamente a capacidade de pagamento das unidades.
Outro dado relevante para o planejamento do condomínio é a segmentação da inadimplência pelo valor das taxas. Condomínios com mensalidades de até R$ 500 tendem a sofrer mais, registrando índices superiores a 11%, enquanto taxas acima de R$ 1.000 apresentam uma inadimplência mais controlada, em torno de 5%. Isso sugere que o síndico de empreendimentos populares deve trabalhar com uma margem de inadimplência mais conservadora para evitar o colapso do caixa.
O que é a margem de inadimplência e sua função vital
A margem de inadimplência, frequentemente referida como margem de segurança financeira, é um percentual excedente calculado sobre a previsão orçamentária do condomínio para compensar a ausência de pagamentos de uma parcela das unidades. Em termos práticos, se o condomínio necessita de R$50.000,00 mensais para operar e possui uma inadimplência histórica de 5%, o valor lançado nos boletos deve ser suficiente para que, mesmo com a falta desse percentual, o montante arrecadado cubra todas as despesas.
O estabelecimento dessa margem é vital por três razões fundamentais: previsibilidade operacional, proteção do patrimônio e justiça financeira. Sem ela, qualquer atraso pontual obriga o síndico a "escolher" qual conta não pagar, o que pode resultar em multas sobre impostos, interrupção de serviços de manutenção ou atrasos salariais. Além disso, a margem de inadimplência atua como um pulmão financeiro, garantindo que o condomínio não entre no vermelho antes que as medidas de cobrança amigável ou judicial surtam efeito.
Para o condomínio, a saúde financeira é o alicerce da valorização imobiliária. Um prédio que enfrenta constantes déficits orçamentários tende a negligenciar a manutenção preventiva, o que desvaloriza as unidades e torna o ambiente menos seguro e agradável para os residentes. Portanto, a margem de inadimplência não deve ser vista como um custo extra imposto aos moradores, mas como um seguro contra a insolvência da coletividade.
Passo a passo para calcular a margem de inadimplência
O cálculo da margem de inadimplência exige um olhar atento aos dados históricos do condomínio. O síndico não deve utilizar percentuais genéricos de mercado, mas sim a realidade específica do seu empreendimento nos últimos 12 a 24 meses. A seguir, detalha-se o procedimento técnico para chegar a um número seguro.
O primeiro passo consiste no levantamento do índice histórico de atrasos. É necessário identificar qual a porcentagem média de unidades que deixam de pagar a cota no mês de vencimento. Esse dado é extraído dividindo-se o número de unidades inadimplentes pelo total de unidades do condomínio ao longo de um período significativo. Por exemplo, se em um prédio de 100 apartamentos, 8 costumam atrasar mensalmente, a taxa de inadimplência base é de 8%.
O segundo passo envolve a análise da sazonalidade. Historicamente, meses como dezembro e janeiro apresentam maior inadimplência devido aos gastos extras das famílias com festas, férias e impostos de início de ano, como IPTU e IPVA. O síndico deve, portanto, prever se a margem de inadimplência será linear ao longo do ano ou se haverá ajustes pontuais para períodos críticos.
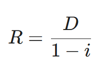
O terceiro passo é a aplicação da fórmula de recomposição de receita. Diferente de uma soma simples, o cálculo correto utiliza a divisão pelo complemento da taxa. Se o custo total das despesas é D e a inadimplência esperada é i, o valor total do rateio R é calculado pela fórmula:
A matemática da recomposição: Fórmula e exemplos práticos
Para ilustrar a importância de utilizar a fórmula correta, considere um condomínio com uma despesa mensal fixa de R$30.000,00 e uma inadimplência histórica consolidada de 10%. Se o síndico apenas somasse 10% ao valor das despesas (R$3.000,00), ele lançaria um rateio total de R$33.000,00. No entanto, se os 10% de inadimplência se confirmarem, o condomínio arrecadará apenas 90% desse valor, ou seja, R$29.700,00, gerando um déficit de R$300,00 já no primeiro mês.
Utilizando a fórmula técnica sugerida, o cálculo seria: R$ 30.000,00 dividido por (1 - 0,10), o que resulta em R$ 33.333,33. Nesse cenário, mesmo que 10% dos condôminos não paguem, a arrecadação final será de R$ 30.000,00 exatos, cobrindo todas as obrigações sem prejuízo ao caixa. Essa diferença, embora pareça sutil em um mês, ao longo de um exercício anual de 12 meses, representa a diferença entre um condomínio com saúde financeira e um condomínio endividado.
A aplicação da margem de inadimplência deve ser acompanhada mensalmente. Caso a inadimplência real seja inferior à projetada, o excedente arrecadado pode ser destinado ao fundo de reserva ou utilizado para abater despesas futuras, fortalecendo a segurança financeira do condomínio. É fundamental que o síndico mantenha uma planilha detalhada que compare o "Previsto" versus o "Realizado" para ajustar a margem conforme as mudanças no comportamento de pagamento dos moradores.
Inadimplência bruta versus líquida: Refinando o caixa
Uma distinção crucial que o síndico deve fazer em seus relatórios financeiros é entre a inadimplência bruta e a inadimplência líquida. A inadimplência bruta representa o valor total de cotas que não foram pagas no mês do vencimento em relação ao faturamento total esperado. Esse é o indicador que mede o "buraco" imediato no fluxo de caixa e serve de base para o cálculo da margem de segurança.
Por outro lado, a inadimplência líquida considera o valor da inadimplência bruta subtraído das recuperações de crédito de períodos anteriores. Por exemplo, se em um mês o condomínio deixou de receber R$5.000,00 (bruta), mas recuperou R$4.000,00 de dívidas antigas através de acordos judiciais, a inadimplência líquida real foi de apenas R$1.000,00.
Compreender essa diferença evita que o síndico tome decisões precipitadas. Um condomínio com inadimplência bruta alta, mas com uma recuperação de crédito eficiente e constante, pode trabalhar com uma margem de inadimplência ligeiramente menor no rateio mensal, pois sabe que o fluxo de caixa será recomposto pelos recebimentos retroativos. Contudo, a prudência dita que o orçamento ordinário nunca deve depender da incerteza das cobranças judiciais para pagar contas básicas.
Itens necessários para uma base de cálculo fidedigna
Antes de aplicar a margem de inadimplência, o síndico precisa garantir que o montante total das despesas (a base de cálculo) seja o mais preciso possível. O planejamento orçamentário anual deve listar todas as despesas ordinárias, que são aquelas recorrentes e essenciais para o funcionamento do condomínio. Ignorar componentes do custo operacional invalidará qualquer margem de segurança estabelecida.
Os itens fundamentais incluem a folha de pagamento e encargos sociais de funcionários próprios (ou o contrato da empresa terceirizada), as contas de consumo como água, luz e gás das áreas comuns, e os contratos de manutenção preventiva de elevadores, portões, piscinas e sistemas de segurança. Além disso, devem ser computados os impostos municipais, estaduais e federais incidentes sobre as operações do condomínio.
Um planejamento eficiente também considera as despesas extraordinárias já aprovadas em assembleia, como reformas específicas ou compra de equipamentos. O síndico deve organizar essas informações em categorias claras, facilitando a visualização por parte do conselho fiscal e dos moradores. A transparência na listagem desses itens é o que permite justificar o valor final da cota condominial.
Custos ocultos e despesas frequentemente esquecidas
Muitos gestores enfrentam dificuldades financeiras não por falta de controle da inadimplência, mas por esquecerem de provisionar custos que não ocorrem todos os meses. O erro mais comum é não diluir ao longo do ano o pagamento do 13º salário e o terço constitucional de férias dos funcionários. Sem essa reserva mensal de 1/12 avos, o condomínio sofre um impacto desproporcional no caixa nos meses de novembro e dezembro, justamente quando a inadimplência tende a subir.
Outro item frequentemente ignorado é o reajuste anual de contratos de prestação de serviços. Muitas vezes, o síndico utiliza o valor atual do contrato de segurança ou da administradora na previsão orçamentária para o ano seguinte, esquecendo que esses contratos possuem gatilhos de correção por índices como IPCA ou IGP-M. Quando o reajuste ocorre no meio do ano, o valor arrecadado torna-se insuficiente, gerando um déficit que não estava previsto.
Também é comum o esquecimento da formação do fundo de reserva para despesas emergenciais, que geralmente deve equivaler a 5% ou 10% da arrecadação mensal. Quando o condomínio não possui esse fundo ou o utiliza indevidamente para cobrir a inadimplência ordinária, ele fica vulnerável a qualquer imprevisto estrutural, o que obriga a convocação de assembleias para rateios extras, gerando insegurança e descontentamento na comunidade.
Implicações jurídicas e o novo entendimento do STJ
O síndico deve estar atento às mudanças na jurisprudência que afetam a recuperação de créditos e o cálculo dos débitos. O Código Civil, em seu Artigo 1.336, §1º, estabelece que o condômino inadimplente está sujeito aos juros moratórios convencionados na convenção do condomínio ou, caso não previstos, a 1% ao mês, além de multa de até 2% sobre o valor do débito. É fundamental que esses parâmetros sejam seguidos rigorosamente para evitar a nulidade das cobranças.
Recentemente, o Superior Tribunal de Justiça (STJ) proferiu uma decisão de grande impacto para a gestão financeira: os condomínios não podem incluir honorários advocatícios contratuais no cálculo da execução de cotas condominiais em atraso, mesmo que haja previsão na convenção. O entendimento da Corte é que esses honorários são uma relação privada entre o condomínio e seu advogado, não podendo ser transferidos ao devedor de forma automática como parte da dívida condominial.
Essa decisão implica que o custo da contratação de advogados para realizar a cobrança deve ser suportado pelo caixa do condomínio como uma despesa administrativa ordinária. Para o síndico, isso significa que a estrutura de cobrança deve estar prevista no planejamento orçamentário anual, pois o valor recuperado dos inadimplentes não incluirá o reembolso dos honorários pagos pelo condomínio para processá-los. Ignorar essa realidade jurídica pode gerar um déficit nas contas, uma vez que o condomínio gastará recursos com advocacia que não serão totalmente recompostos pelo devedor.
Sustentabilidade e economia: A solução NewSun Energy Group
Uma das formas mais inteligentes de gerir a inadimplência é atacando a base de custos do condomínio, reduzindo despesas fixas para aliviar a pressão sobre o rateio mensal. A assinatura de energia limpa da NewSun Energy Group surge como uma aliada estratégica nesse processo. Esse modelo permite que o condomínio utilize créditos de energia solar gerados em usinas remotas, o que estabiliza a conta de luz das áreas comuns sem a necessidade de obras complexas, instalação de painéis no telhado ou investimentos iniciais por parte do condomínio.
A principal vantagem financeira para o condomínio é a blindagem contra as bandeiras tarifárias amarela e vermelha. Em períodos de crise energética, quando as tarifas tradicionais sofrem aumentos significativos, a assinatura da NewSun vincula o custo da energia à bandeira verde, garantindo previsibilidade orçamentária e uma economia progressiva e sustentável. Essa estabilidade facilita o cálculo da margem de inadimplência, pois remove uma variável de incerteza (a oscilação da conta de luz) que costuma desequilibrar as projeções mensais.
Além dos benefícios financeiros, a NewSun Energy Group diferencia-se pelo seu atendimento verdadeiramente humano e personalizado. Longe da burocracia das grandes concessionárias, o síndico é tratado como um parceiro estratégico na transição energética do empreendimento. Para garantir a transparência absoluta na gestão, a empresa oferece uma plataforma exclusiva, o NewSun Energy Club. Através dela, a administração pode acompanhar em tempo real o gasto energético, os créditos aplicados e a economia total gerada, facilitando a prestação de contas aos moradores.
Saiba mais sobre nossas Soluções para Condomínios .
Estratégias para aprovação da margem na assembleia geral
Apresentar a necessidade de uma margem de inadimplência em assembleia é um momento de sensibilidade política para o síndico. Moradores adimplentes podem sentir-se injustiçados ao perceberem que o rateio inclui uma margem para cobrir os que não pagam. Para superar essa resistência, o síndico deve basear sua argumentação em dados concretos e na proteção do patrimônio coletivo.
Utilizar relatórios visuais que comparem o custo de manter uma margem de segurança versus o custo de recorrer a um cheque especial ou sofrer multas por atraso em contas de consumo é fundamental. É preciso demonstrar que a falta de margem pode levar à interrupção de serviços básicos, como limpeza e segurança, ou ao adiamento de manutenções estruturais que, se não realizadas preventivamente, custarão muito mais caro no futuro.
Durante a reunião, o síndico deve esclarecer que a margem não é um "perdão" para o devedor, mas um mecanismo de fluxo de caixa. Deve-se enfatizar que o condomínio continuará cobrando os inadimplentes com rigor legal e que, uma vez recuperados, esses valores retornarão ao caixa comum para benfeitorias ou abatimento de taxas futuras. Quando os condôminos entendem que a medida visa a segurança de todos e não o benefício dos devedores, a aprovação ocorre de forma muito mais fluida.
O impacto da inadimplência na valorização do patrimônio
O papel do síndico transcende o pagamento de boletos; ele é o zelador do valor de mercado das propriedades dos condôminos. A inadimplência crônica e a falta de uma margem de segurança adequada corroem o patrimônio de forma silenciosa. Quando o caixa está apertado, a manutenção preventiva costuma ser a primeira vítima. Jardins mal cuidados, pintura de fachada descascando e elevadores com defeitos constantes são sinais claros de má saúde financeira que afastam compradores e reduzem o valor dos aluguéis.
Além da depreciação física, a inadimplência afeta o "clima" do condomínio. Conflitos em assembleias e a sensação de que alguns moradores estão sendo explorados para sustentar outros criam um ambiente tóxico, o que também desvaloriza o empreendimento. Em contrapartida, condomínios com gestão financeira sólida e margens bem planejadas transmitem segurança para o mercado imobiliário. A adoção de soluções sustentáveis e de eficiência energética, como a assinatura da NewSun Energy Group, reforça essa imagem de modernidade e boa gestão, contribuindo diretamente para que o imóvel seja visto como um ativo resiliente e valorizado.
Concluindo, calcular a margem de inadimplência de forma técnica e transparente é uma das responsabilidades mais críticas do síndico moderno. Ao dominar essa ferramenta, o gestor protege o condomínio contra as incertezas econômicas, garante o funcionamento pleno dos serviços e preserva a harmonia entre os moradores. A combinação de um cálculo preciso, um acompanhamento rigoroso da inadimplência líquida e a busca por eficiências operacionais, como a economia gerada pela energia limpa, forma o tripé ideal para uma gestão condominial de sucesso no século XXI.
Você também pode se interessar
- Dicas para Síndicos e PMES
27/03/2026
5m
- Dicas para Síndicos e PMES
26/03/2026
5m
- Dicas para Síndicos e PMES
25/03/2026
5m

